2025江西新高考分数怎么算?江西高考文理分数线有差距吗?
随着近年来全国高考改革进程的不断推进,越来越多的省份由传统高考模式转变为新高考模式。而制度的变化使得部分考生和家长对于一些高考事项不太了解,如考生总分构成及赋分规则等。那么江西省2025年新高考分数该如何计算?该省文理分数线是否有差距?快来了解一下吧!

2025江西新高考分数怎么算?
江西省自2024年起便正式采用了“3+1+2”新高考模式,因此该省的高考科目及各科分值为:全国统一高考科目语文、数学、外语3门,每科满分均为150分,总分450分,各科均以原始分计入考生总成绩。考生在物理、历史2门首选科目中选择1门,以原始分计入考生总成绩,满分为100分。考生在思想政治、地理、化学、生物学4门再选科目中选择2门,以等级分计入考生总成绩,每科满分均为100分。
以公式表明,则为:3门必考(语数外,450分)+1门首选(物理/历史,100分)+2门再选(化学/生物/政治/地理,200分)=750分。
在江西省新高考模式下,需要进行高考赋分的科目仅有四门,分别是化学、生物、政治、地理,物理和历史无需赋分。以下为赋分规则和等级转换步骤。
1、将每个选考科目的考生群体原始分从高到低排序,划分为A、B、C、D、E五个等级。各等级人数所占比例通常为A等级15%、B等级35%、C等级35%、D等级13%、E等级2%。
2、再将A至E等级内的考生原始成绩,依照等比例转换原则,分别对应转换到100~86、85~71、70~56、55~41和40~30五个分数区间。等级分数的满分值为100分、起点分值为30分。

3、根据每位考生的原始分和所在等级对应的分数区间,通过公式计算考生的等级转换分,得到考生的赋分成绩。转换后的等级分1分1档,考生排序不变。
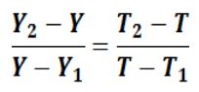
具体计算公式和方法如下

其中:Y1、Y2分别表示原始分区间的下限和上限;T1、T2分别表示转换分区间的下限和上限;Y表示原始分;T表示转换分。
考虑到高考分数都以整数呈现,故上述公式的计算结果需要进行“四舍五入”处理。
举例说明:
假设某同学化学科目原始分为75分,该学科B等级的原始分分布区间为82~61,则该同学化学科目的原始成绩属B等级。而B等级的转换分区间为85~71,那么该同学化学科目的转换分为:

解得, T≈80.33;
四舍五入后该同学化学科目赋分成绩为80(图2)。
图2:转换示意图

江西新高考文理分数线有差距吗?
江西省首次实施新高考是在2024年,进行高考改革后便不在划分文理科,而是将考生根据首选科目分为物理类和历史类,分别进行划线。而以2024年江西高考录取控制分数线来看,各批次的历史类省控线普遍高于物理类,分差在12~30分。
| 科目类型 | 批次 | 分数线 | 位次 | 分差 |
| 物理类 | 本科批 | 448 | 150379 | 历史>物理15分 |
| 历史类 | 本科批 | 463 | 52744 | |
| 物理类 | 特殊类型招生控制线 | 520 | 65595 | 历史>物理12分 |
| 历史类 | 特殊类型招生控制线 | 532 | 16460 | |
| 物理类 | 专科批 | 240 | 257276 | 历史>物理30分 |
| 历史类 | 专科批 | 270 | 180338 |
而之所以江西省历史类高考分数线比物理类要高一些,可能与以下几点因素相关。一是招生计划,全国高校在江西省进行招生时,招收的历史类考生数量要远低于物理类,在录取名额极其有限的情况下,考生的竞争会更加激烈,导致分数线偏高。二是学科难度,文史类科目的学习难度一般比理工类要简单一些,虽然获取高分比较困难,但中等生占比还是比较大的,考生整体水平较高的话也会促使分数线上涨。三是考试难度,这一点是不可控的,每年的试卷难度都是不同的,如果文史类科目的试卷难度相对较低的话,也可能会影响分数线的划定。
以上资料仅供参考,具体请以实际情况为准!
相关阅读
-
江西双一流大学有几所-江西双一流大学名单排名一览表说到好大学除了985211这类高等学府,双一流大学也是属于好大学范畴的,说到双一流大学可能部分学生与家长们并不是很了解,双一流大学指世界一流大学和一流学科建...作者:山海 时间:2025-06-18 -
黑龙江省211大学有哪几所大学?2024黑龙江211大学排名及录取分数线(2025参考)今年的高考已然结束,各位考生在放松闲暇之余,也需花费时间进行大致估分,并对心仪院校的招生计划、录取要求等进行一定了解。而在高考招生中,广大考生 对于各...作者:kokkuri 时间:2025-06-18 -
福建省211大学有哪几所大学?2024福建211大学排名及录取分数线(2025参考)今年的高考已然结束,各位考生在放松闲暇之余,也需花费时间进行大致估分,并对心仪院校的招生计划、录取要求等进行一定了解。而在高考招生中,广大考生对于各省...作者:kokkuri 时间:2025-06-18 -
江苏省211大学有哪几所大学?2024江苏211大学排名及录取分数线(2025参考)今年的高考已然结束,各位考生在放松闲暇之余,也需花费时间进行大致估分,并对心仪院校的招生计划、录取要求等进行一定了解。而在高考招生中,广大考生对于各省...作者:kokkuri 时间:2025-06-18 -
山东省211大学有哪几所大学?2024山东211大学排名及录取分数线(2025参考)今年的高考已然结束,各位考生在放松闲暇之余,也需花费时间进行大致估分,并对心仪院校的招生计划、录取要求等进行一定了解。而在高考招生中,广大考生 对于各...作者:kokkuri 时间:2025-06-18 -
贵州省211大学有哪几所大学?2024贵州211大学排名及录取分数线(2025参考)今年的高考已然结束,各位考生在放松闲暇之余,也需花费时间进行大致估分,并对心仪院校的招生计划、录取要求等进行一定了解。而在高考招生中,广大考生对于各省...作者:kokkuri 时间:2025-06-18
最新文章
- 高考分数相同位次怎么排名的?高考同分排序规则是什么?
- 新高考全国一卷的省份有哪些 全国新高考一卷使用地区
- 2023高考位次怎么查询?高考位次查询系统入口在哪里
- 新高考原始分和赋分是什么意思?新高考是按赋分还是原始分录取?
- 高考位次计算方法公式是什么?高考一分一段表如何换算位次?
- 天津高考新政策是3+1+2还是3+3?2023年天津高考新政策细则解读
- 2024新高考一卷数学题型改变了吗变化分析及备考建议,命题人是谁?
- 浙江新高考政策选科怎么选,浙江新高考七选三哪个组合好
- 2025新高考死亡组合,新高考不建议的选科组合(附3+1+2赋分谁最吃亏)
- 新高考英语和老高考英语有什么区别,新高考英语题型及分值介绍