2025天津新高考数学试卷真题及答案解析,附考点题型及分值分布
时间:2025-12-22 16:08:04
来源:精英考试网
作者:kokkuri
历年高考真题卷对于高中生来说弥足珍贵,考过的试卷虽已过时,但真题却不会完全过时。每一道真题蕴含的知识点、命题思路、阶梯逻辑等对于考生来说极具参考价值,综合多年的高考真题,考生可以从中发现命题规律和考试大纲,把握考试重点,有利于进行接下来的复习和备考。目前天津市2025年高考数学真题已然公布,感兴趣的同学赶快来获取吧!

2025天津新高考数学试卷真题及答案解析
天津市属于新高考“3+3”省份,高考数学科目一般于6月7日下午15:00 - 17:00举行考试,考试时长120分钟,试卷满分为150分。另外,根据该市高考赋分制度来看,数学属于统考科目,单科成绩无需进行赋分转换,可直接以卷面分计入考生总成绩。
一直以来,天津市在统考科目上都采用的是自主命题卷而非全国卷,数学科目试卷的命题由本市教育考试院来组织完成。据分析,天津数学卷主要题型包括单选题、填空题和解答题。以下仅展示2025年天津高考数学卷的题型、分值及考点分布情况,可供参考。
试卷结构:单选题(共9题,45分)+填空题(共6题,30分)+解答题(共5题,75分)=150分
| 题型 | 题号 | 知识点考察 | 分值 |
| 单选题(共9小题,每小题5分,共45分) | 1 | 集合的基本运算(并集和补集) | 5分 |
| 2 | 命题的充分性和必要性;正弦的零点值 | 5分 | |
| 3 | 函数性质;函数的定义 | 5分 | |
| 4 | 点、线、面的位置关系 | 5分 | |
| 5 | 相关系数的意义及辨析;特殊区间的概率;指定区间的概率 | 5分 | |
| 6 | 等差数列的通项、前n 项和;绝对值的性质 | 5分 | |
| 7 | 函数的性质(单调性);幂函数的单调性;指数函数的单调性;零点存在性定理;二分法 | 5分 | |
| 8 | 利用正弦型函数的单调性求参数;由正(余)弦函数的性质确定图象(解析式);利用正弦函数的对称性求参数 | 5分 | |
| 9 | 双曲线的定义和性质(焦半径、离心率);抛物线的定义和性质 | 5分 | |
| 填空题(共6小题,每小题5分,共30分) | 10 | 复数的几何意义;复数的运算 | 5分 |
| 11 | 二项式展开式 | 5分 | |
| 12 | 直线方程;点与点之间的距离;点到直线的距离;圆心的标准方程;垂径定理 | 5分 | |
| 13 | 二项分布的定义和期望;全概率公式;条件概率的定义 | 5分 | |
| 14 | 向量的线性运算;向量的数量积;向量模;平面向量基本定理 | 5分 | |
| 15 | 一元二次不等式;全称命题;解不等式 | 5分 | |
| 解答题(共5小题,共75分) | 16 | 用和、差角的正弦公式化简、求值;正弦定理解三角形;余弦定理解三角形;二倍角的余弦公式 | 15分 |
| 17 | 点、线、面位置关系;面与面的交角;几何体的体积 | 15分 | |
| 18 | 椭圆的性质;直线与椭圆的位置关系;解方程;向量的数量积;斜率 | 15分 | |
| 19 | 消元法;求导;研究函数单调性;函数值比较大小 | 15分 | |
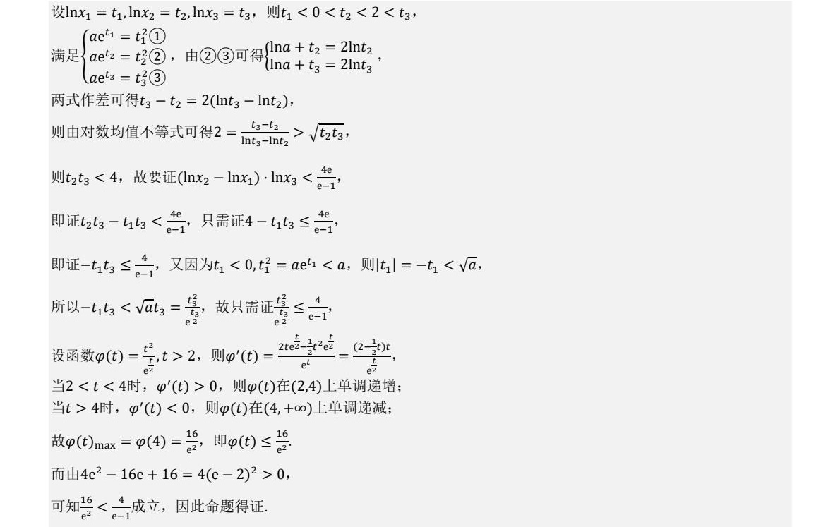
| 20 | 导数的几何意义;复合函数求导;导数的运算;函数零点存在性定理;导数在单调性中应用 | 15分 | |
| 考点分析来自于网络 | |||
2025天津高考数学试卷真题及答案解析
试卷真题:


答案解析:











以上资料仅供参考,具体请以实际情况为准!
相关阅读
-
2025北京理工类大学最低多少分能上?北京市理工类大学排名及分数线一览表(2026参考)理工类院校在全国范围内是一种数量庞大的存在,它们以工科、理科专业为办学主体,注重培养学生的实践能力和技术创新能力;就业前景是其招生优势之一,很多理工院...作者:kokkuri 时间:2025-12-22 -
新高考选科组合专业覆盖率多少-12种选科组合专业覆盖率一览表对于广大高中阶段的学子们来说,选科是非常重要的环节之一,通过选科考生确定了往后高中生涯的学习方向,也基本确定了未来的专业报考及职业发展方向,所以在大家...作者:山海 时间:2025-12-19 -
政法大学最低多少分录取2025全国政法大学录取分数线一览表(2026参考)每年志愿填报时很多学生面对着各类大学不知道如何做选择,其实大家需要有一个初步的筛选,比如说自己想要报考哪一种类型的大学?如果考生对于法学相关的专业比较...作者:山海 时间:2025-12-19 -
江西财经类大学最低多少分能上2025安徽财经类大学排名及分数线一览表(2026参考)我国大学资源丰富,本科院校就达到了一千三百多所,其中有多种类型的院校,如医药类、师范类、体育类、财经类、政法类、语言类等等,很多学生对于财经类院校很感...作者:山海 时间:2025-12-19 -
安徽财经类大学最低多少分能上2025安徽财经类大学排名及分数线一览表(2026参考)我国大学资源丰富,本科院校就达到了一千三百多所,其中有多种类型的院校,如医药类、师范类、体育类、财经类、政法类、语言类等等,很多学生对于财经类院校很感...作者:山海 时间:2025-12-19 -
贵州地方公费师范生有哪些院校2025具体名单及分数线(含报考条件)2026参考!公费师范生相信很多学生与家长们都是有所了解的,就是由国家或地方政府出资,委托师范院校进行培养的学生,学校在校期间可以享受免学费住宿费的政策,与此同时还...作者:山海 时间:2025-12-19
最新文章
- 高考分数相同位次怎么排名的?高考同分排序规则是什么?
- 新高考全国一卷的省份有哪些 全国新高考一卷使用地区
- 2023高考位次怎么查询?高考位次查询系统入口在哪里
- 新高考原始分和赋分是什么意思?新高考是按赋分还是原始分录取?
- 2025新高考死亡组合,新高考不建议的选科组合(附3+1+2赋分谁最吃亏)
- 高考位次计算方法公式是什么?高考一分一段表如何换算位次?
- 天津高考新政策是3+1+2还是3+3?2023年天津高考新政策细则解读
- 2024新高考一卷数学题型改变了吗变化分析及备考建议,命题人是谁?
- 新高考英语和老高考英语有什么区别,新高考英语题型及分值介绍
- 浙江新高考政策选科怎么选,浙江新高考七选三哪个组合好
推荐阅读
- 2025北京理工类大学最低多少分能上?北京市理工类大学排名及分数线一览表(2026参考)
- 2025天津新高考数学试卷真题及答案解析,附考点题型及分值分布
- 新高考选科组合专业覆盖率多少-12种选科组合专业覆盖率一览表
- 政法大学最低多少分录取2025全国政法大学录取分数线一览表(2026参考)
- 江西财经类大学最低多少分能上2025安徽财经类大学排名及分数线一览表(2026参考)
- 安徽财经类大学最低多少分能上2025安徽财经类大学排名及分数线一览表(2026参考)
- 贵州地方公费师范生有哪些院校2025具体名单及分数线(含报考条件)2026参考!
- 重庆地方公费师范生有哪些院校2025具体名单及分数线(含报考条件)2026参考!
- 广西地方公费师范生有哪些院校2025具体名单及分数线(含报考条件)2026参考!
- 2026年不再有独立学院了吗?独立学院是正规大学吗?